Environmental Data Analysis and Visualization

Because It’s the Right Thing to Do

Warm-Up Activity

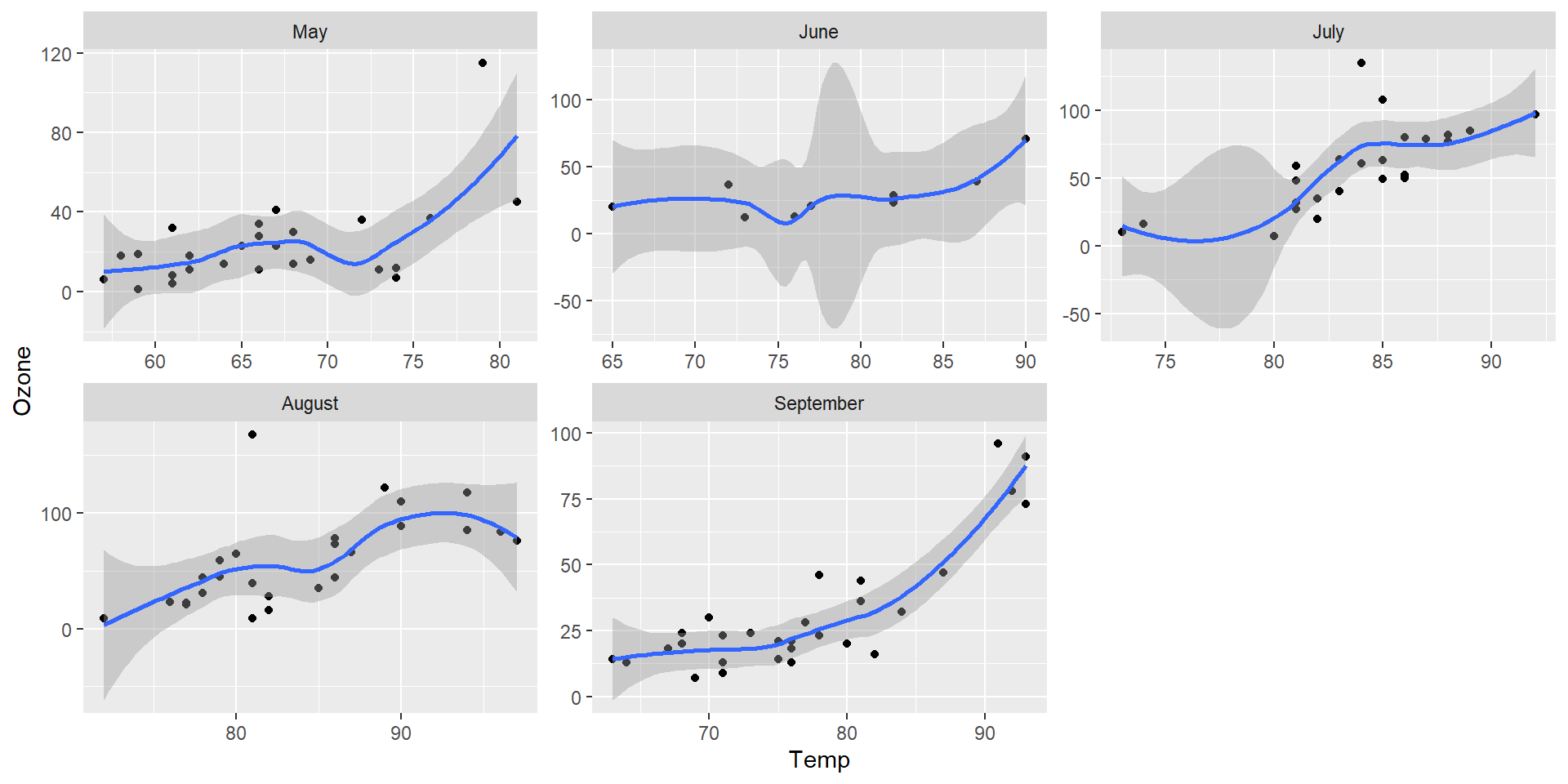
Convert the airquality dataset (from the datasets package) to a tibble and create a scatterplot with a smooth line showing the relationship between temperature and ozone levels for each month in the dataset. You may find the following functions helpful in this process:

  • facet_wrap to make a faceted plot

  • vars to define which variable to use for facets

  • drop_na to remove rows with NA values in certain columns

  • as.character to coerce numbers or other data types to character values

First look

aq<-as_tibble(airquality)
ggplot(drop_na(aq,Temp,Ozone),aes(x=Temp,y=Ozone)) + 
  geom_point() + 
  geom_smooth() + 
  facet_wrap(vars(as.character(Month)))

Labeling facets

Facets are not treated as part of the aesthetic mapping in aes. One way to relabel these is to use fct_recode inside the vars function to change the factor names.

aq<-as_tibble(airquality)
ggplot(drop_na(aq,Temp,Ozone),aes(x=Temp,y=Ozone)) +
  geom_point() + 
  geom_smooth() + 
  facet_wrap(vars(fct_recode(as.character(Month),May="5",June="6",July="7",August="8",September="9")))

Labeling facets

Editing facet axis scales

For the same reason, we can’t access facet axis scales using any scales_* functions. We can modify these in the facet_wrap function with the scales argument.

aq<-as_tibble(airquality)
ggplot(drop_na(aq,Temp,Ozone),aes(x=Temp,y=Ozone)) +
  geom_point() + 
  geom_smooth() + 
  facet_wrap(vars(fct_recode(as.character(Month),May="5",June="6",July="7",August="8",September="9")),scales="free")

Editing facet axis scales

Editing facet axis scales

We can change a single scale with the argument “free_x” or “free_y”.

aq<-as_tibble(airquality)
ggplot(drop_na(aq,Temp,Ozone),aes(x=Temp,y=Ozone)) + 
  geom_point() + 
  geom_smooth() + 
  facet_wrap(vars(fct_recode(as.character(Month),May="5",June="6",July="7",August="8",September="9")),scales="free_x")

Editing facet axis scales

Visualization critique

globalforestwatch.org

Visualization critique

fb.org

Visualization critique

weforum.org

Next visualization critiques

  • Emma

  • Gracie

  • Sahm

Sensor Dataset of the day

General Social Survey

https://gss.norc.org/

Ethics in research

Researchers operate inside of a society with norms, values, and expectations

Ethics in research

Researchers operate inside of a society with norms, values, and expectations


To behave ethically is to behave in a way that is considered socially responsible

Ethics in research

Human subjects

  • Operates on principles of non-maleficence, beneficence, autonomy, and justice

  • Requires informed consent of participants

  • Uses anonymity and confidentiality to protect identities

Animal subjects

  • Operates on principles of non-maleficence, beneficence, and justice

  • Where possible, researchers must aim for replacement, reduction, and refinement

Ethics in research

Human subjects

  • Requires review by Institutional Review Board (IRB)

Animal subjects

  • Requires review by Institutional Review Board (IRB)

Institutional Review Board

University of Utah

Data ethics

Data science makes use data that is available from a variety of sources, often in ways that are not directly connected to the original data collection process

Data ethics

Data science makes use data that is available from a variety of sources, often in ways that are not directly connected to the original data collection process

At the same time, there are limited oversights governing the reuse of data by researchers or others.

Data ethics

Tufts Office of the Vice Provost for Research

Data ethics

Tufts Office of the Vice Provost for Research

Data ethics

  • Non-maleficence: Could the use of this data be harmful?

  • Beneficence: How will the use of this data be beneficial?

  • Autonomy: Did stakeholders contribute this data willingly?

  • Justice: Would use of this data propagate inequities?

Ethical data

  • How were the data obtained?

  • For whom, or for what purpose, were the data obtained?

  • Would stakeholders be comfortable if they knew the data were being collected, stored or shared?

Ethical data

The 2012 Facebook Social Contagion Study

Ethical data

The 2012 Facebook Social Contagion Study

Kramer, Adam D. I., Jamie E. Guillory, and Jeffrey T. Hancock. 2014. “Experimental Evidence of Massive-Scale Emotional Contagion through Social Networks.” Proceedings of the National Academy of Sciences 111 (24): 8788–90. https://doi.org/10.1073/pnas.1320040111.

Confronting biases

  • How might the data be biased?

  • How might the data be manipulated to bias results?

  • How might data be used to promote existing biases?

Confronting biases

Confronting biases

Towards Data Science

Activity: Let’s get ethical

Take a moment and go over one or more of your datasets from your project to address the following questions:

  • What do you know about where your data comes from? Where would you find out?

  • What are some potential sources of bias in your data?

  • Are there any ways your use of this data cause harm or propagate biases?

With one of your neighbors, discuss your project in terms of ethical principles of non-maleficence, beneficence, autonomy, and justice.

Data ethics

  • Non-maleficence: Could the use of this data be harmful?

  • Beneficence: How will the use of this data be beneficial?

  • Autonomy: Did stakeholders contribute this data willingly?

  • Justice: Would use of this data propagate inequities?

Ethics in data storytelling

Where do we draw the line between narrative and agenda?

National Public Radio

Global Charter of Ethics for Journalists

ifj.org

Global Charter of Ethics for Journalists

ifj.org

Making choices

“When a designer chooses a graphic form to represent data just because she likes it, while ignoring evidence that may lead her to choose a more appropriate one, her act is morally wrong. It’s not wrong just because she’s not been virtuous or because there is a deontological rule against inappropriate charts, but because her act will likely have negative consequences, such as confusion, obfuscation and misunderstanding.” -Alberto Cairo, “Ethical Infographics”

Coming up

  • Bless this mess: Messy data and the tidyverse

  • |> (or %>%) dreams