Environmental Data Analysis and Visualization

Getting a Clearer View

Visualization Critique

https://ourworldindata.org/grapher/share-of-the-population-with-access-to-electricity

Visualization Critique

City of Portland via https://www.mainebiz.biz/article/portland-housing-production-exceeds-citys-target-but-affordability-remains-a-problem

Visualization Critique

https://www.nytimes.com/slideshow/2020/06/10/learning/graphs-charts-and-maps-from-three-years-of-whats-going-on-in-this-graph/s/SimilarSongsLN1.html

Learning how to look

University of Wollongong

Getting a clearer view

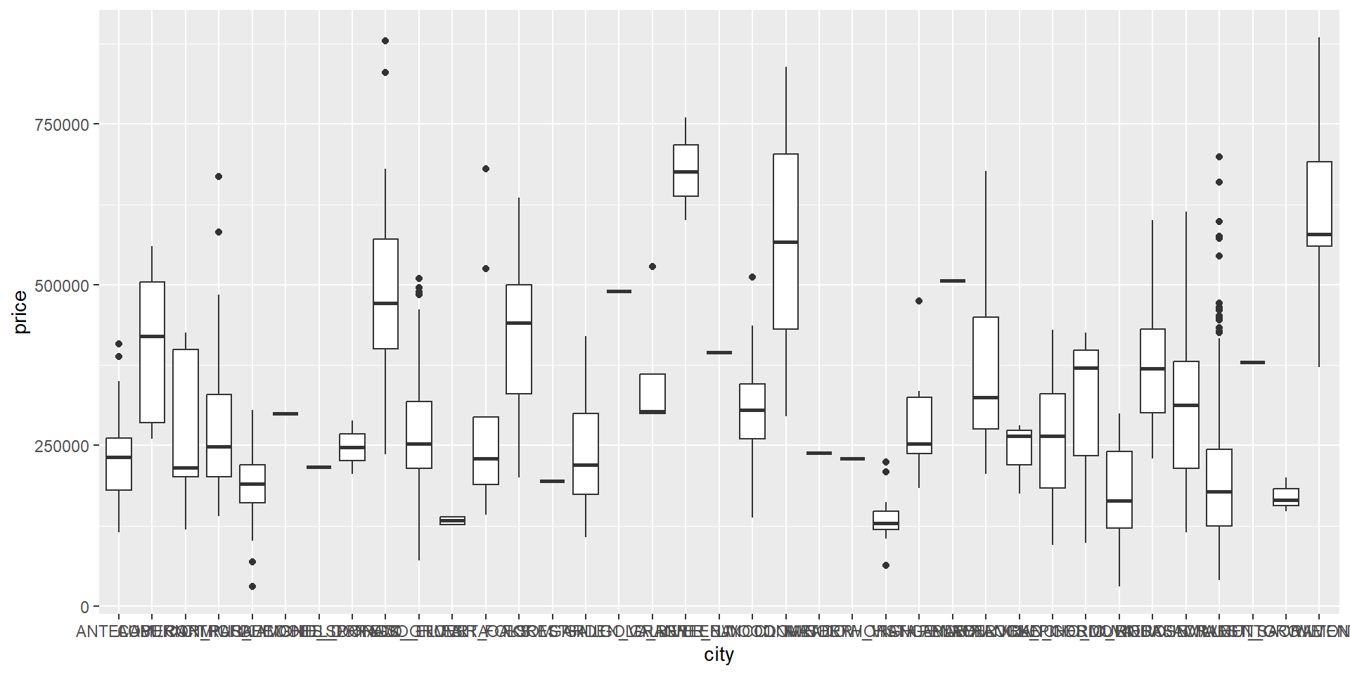
ggplot(data=Sacramento,aes(x=city,y=price)) +
  geom_boxplot()

Getting a clearer view

Flip x and y axes

ggplot(data=Sacramento,aes(x=city,y=price)) +
  geom_boxplot() +
  coord_flip()

Getting a clearer view

Resize axis labels

Getting a clearer view

Reorder based on median house prices

Getting a clearer view

Getting a clearer view

Getting a clearer view

ggplot(data=abalone,aes(x=diameter*200,y=weight.whole*200)) + 
  geom_point()

Getting a clearer view

Changing the transparency (alpha)

ggplot(data=abalone,aes(x=diameter*200,y=weight.whole*200)) + 
  geom_point(alpha=0.1)

Getting a clearer view

Changing the size

ggplot(data=abalone,aes(x=diameter*200,y=weight.whole*200)) + 
  geom_point(size=0.1)

Getting a clearer view

Binning the values (geom_bin2d)

ggplot(data=abalone,aes(x=diameter*200,y=weight.whole*200)) + 
  geom_bin2d()

Getting a clearer view

Binning the values (geom_hex)

ggplot(data=abalone,aes(x=diameter*200,y=weight.whole*200)) + 
  geom_hex()

Getting a clearer view

Getting a clearer view

Data: Common bully (Gobiomorphus cotidianus) records from New Zealand Freshwater Fish Database

ggplot(data=bully,aes(x=altitude,y=maxl)) +
  geom_point()

Getting a clearer view

ggplot(data=drop_na(bully,maxl),aes(x=altitude,y=maxl)) +
  geom_point()

Getting a clearer view

Zooming in

ggplot(data=drop_na(bully,maxl),aes(x=altitude,y=maxl)) +
  geom_point() +
  coord_cartesian(xlim=c(0,100))

Getting a clearer view

ggplot(data=drop_na(bully,maxl),aes(x=altitude,y=maxl)) +
  geom_point()

Transformations

adsf

Getting a clearer view

Natural log transformation on x-axis

ggplot(data=drop_na(bully,maxl),aes(x=altitude,y=maxl)) +
  geom_point() +
  scale_x_continuous(trans='log')

Getting a clearer view

Log-10 transformation on x-axis

ggplot(data=drop_na(bully,maxl),aes(x=altitude,y=maxl)) +
  geom_point() +
  scale_x_continuous(trans='log10')

Getting a clearer view

Add a smooth line

ggplot(data=drop_na(bully,maxl),aes(x=altitude,y=maxl)) +
  geom_point() +
  scale_x_continuous(trans='log10')+
  geom_smooth()

Seeing the bigger picture

Faceted plots can help us view the same pattern across multiple variables.

ggplot(data=Sacramento,aes(x=sqft,y=price)) +
  geom_point() +
  facet_wrap(vars(type))

Activity: Looking and comparing

  • In this exercise, you’ll use the scat dataset in the modeldata package (same data, fewer bobcars)

  • Use the facet_wrap function to look at relationships (remember to use the vars function to identify your aesthetic mapping):

    • length and diameter by species

    • diameter and mass by species

    • length and mass by month

    • one additional combination of your choice

Next week

  • Best practices for data documentation

  • Introducing Quarto

  • Data ethics and open science models