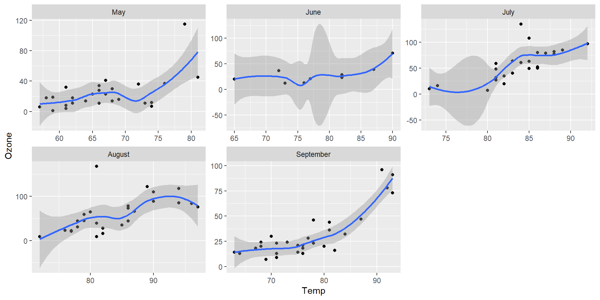
Convert the airquality dataset (from the datasets package) to a tibble and create a scatterplot with a smooth line showing the relationship between temperature and ozone levels for each month in the dataset. You may find the following functions helpful in this process:
facet_wrap to make a faceted plot
vars to define which variable to use for facets
drop_na to remove rows with NA values in certain columns
as.character to coerce numbers or other data types to character values
Facets are not treated as part of the aesthetic mapping in aes. One way to relabel these is to use fct_recode inside the vars function to change the factor names.
For the same reason, we can’t access facet axis scales using any scales_* functions. We can modify these in the facet_wrap function with the scales argument.
We can change a single scale with the argument “free_x” or “free_y”.
aq<-as_tibble(airquality)
ggplot(drop_na(aq,Temp,Ozone),aes(x=Temp,y=Ozone)) + 
  geom_point() + 
  geom_smooth() + 
  facet_wrap(vars(fct_recode(as.character(Month),May="5",June="6",July="7",August="8",September="9")),scales="free_x")
Editing facet axis scales

Passive acoustic monitoring
Passive acoustic monitoring
Goulette et al. 2021 “Opportunistic Acoustic Telemetry Platforms” NOAA
Navigating R Studio
Data objects and file systems in R
Finding data and getting help
Visualizing different kinds of data with ggplot2
Exploratory data analysis


From data handling to data wrangling with dplyr
Finer control with ggplot2 and friends
Spatial data analysis and visualization
Data modeling
Why would we want science to be reproducible?
Code will do precisely what we want, but it will not necessarily understood by others.
The Turing Way project illustration by Scriberia. CC-BY 4.0 DOI: 10.5281/zenodo.3332807.
An approach to writing software that centers the human user (and re-user) by combining natural language explanations with code.
https://akkartik.name/post/literate-programming
A code notebook is software tool for literate programming.
Quarto is a data science documentation and publishing system that comes built-in to RStudio.
http://quarto.org
http://quarto.org
Download the PalmersPenguins.qmd file from Canvas. Try modifying the code, text, and titles in the document. You can also add your own Code Chunk using the button indicated below:
How to create Quarto documents and integrate them into our process
Revisit Weeks 1 - 4
Brainstorm ideas for final projects